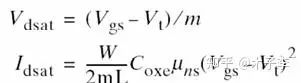
· 1. 基于速度饱和的MOSFET的IV 模型之前讨论过MOS的IV理论是基于恒定的迁移率的,这次讨论基于速度饱和效应,其具体讨论如下: 由此可以推导出 当L很大时,上述两种Ids的计算等式一致,因此上述表达式又被称为长沟道IV模型,故可以推导出: 速度饱和的效应是由分母因子表达式来降低Ids。当Vds很小或L很大时,该因子等于1.该因子也可以写成1+αave/αsat, αave=Vds/L为平均沟道电场,饱和电压Vdsat可以通过dIds/dVds = 0 获得 由上述分段推导出更为简单和精确的Vdsat模型,如下所示: 在E=Esat处,可以得到 Esat = 2Vsat/uns 结合上述式子可以推导出,当速度饱和时(Vd=Vdsat) ,位于沟道Drain端的电流: 式中Vdsat是EsatL和长沟道Vdsat=(Vgs-Vt)/m的平均值,其中电子的Vsat=810^6cm/s,空穴的Vsat=610^6cm/s 将上述Vds带入等式 ![]() 当长沟道或小Vgs时,EsatL>>Vgs-Vt 这与之前推导的结果一致 当短沟道情况,EsatL<<Vgs-Vt 其中Idsat正比于W,与L更不敏感 在沟道的Drain端,载流子以饱和速度传递,Vdsat=EsatL · 2.Velocity Saturation vs. Pinch-Off (速度饱和和夹断) pinch-off: 在沟道drain端,Qinv变为0 ,Ids呈现饱和状态,而电流饱和的原因更为精确的描述是,载流子速度在drain端达到饱和,在drain端侧存在速度饱和区,此处Qinv= Idst/Wvsat ![]() Velocity Saturation(速度饱和) 速度饱和是指当施加在半导体材料上的电场强度增加到一定值时,载流子(例如电子或空穴)的速度不再随电场的增加而线性增长的现象。这是因为随着电场强度的增加,载流子获得的能量也增加,从而导致它们与晶格振动(声子)之间的散射概率增大。当散射率变得足够高时,载流子不能持续加速,而是不断地被散射,其平均速度趋于一个最大值,即饱和速度。速度饱和对高速器件如高频晶体管的性能有重要影响. 如何避免Pinch-Off(夹断)出现? 避免FET进入夹断状态主要是通过控制施加在其上的电压,特别是漏极-源极电压,和栅极-源极电压 以及选择适当的器件参数。以下是一些策略: 1.控制工作电压 · 保持低的Vds 确保漏极-源极电压 VDSVDS 不超过 VGS−VTHVGS−VTH,其中 VTHVTH 是阈值电压。当 VDSVDS 小于这个差值时,FET 工作在线性区(也称为欧姆区),此时沟道不会被夹断。 · 优化 VGSVGS选择合适的栅极-源极电压 VGSVGS,以保证在所需的电流水平下,VDSVDS 可以维持在一个不导致夹断的范围内。 2.使用限流或保护电路 · 使用钳位二极管或其他保护元件可以在电路中添加钳位二极管来限制 VDSVDS 的最大值,或者使用其他形式的保护机制如TVS(瞬态电压抑制)二极管。 |







