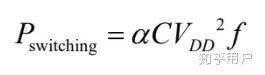
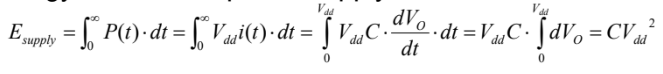
采取低电压是为了降低功耗。为什么CPU会发热 从含有1亿4000万个场效应晶体管FET的奔腾4到高达80多亿的Kabylake,Intel忠实的按照摩尔定律增加着晶体管的数目。这么多个FET随着每一次的翻转都在消耗者能量。一个FET的简单示意图如下: 当输入低电平时,CL被充电,我们假设a焦耳的电能被储存在电容中。而当输入变成高电平后,这些电能则被释放,a焦耳的能量被释放了出来。因为CL很小,这个a也十分的小,几乎可以忽略不计。但如果我们以1GHz频率翻转这个FET,则能量消耗就是a × 10^9,这就不能忽略了,再加上CPU中有几十亿个FET,消耗的能量变得相当可观。 实际上能耗和频率成线性相关。能耗关系公示是: P代表能耗。C可以简单看作一个常数,它由制程等因素决定,制程越小,C越小;V代表电压,和P是二次方的关系;而f就是频率了。理想情况,提高一倍频率,则能耗提高一倍。 通俗的讲,CPU可以看作由几十亿到上百亿个小开关组成的。开关切换的速度f决定了计算机的性能。为了高性能,必须提高开关速度f,这才是大家关心的。而V则因为省电的原因越小越好。那为什么不把V定成很低很低不到1V呢? 这里要引入门延迟(Gate Delay)的概念。简单来说,组成CPU的FET充放电需要一定时间,这个时间就是门延迟。只有在充放电完成后采样才能保证信号的完整性。而这个充放电时间和电压负相关,即电压高,则充放电时间就短。也和制程正相关,即制程越小,充放电时间就短。让我们去除制程的干扰因素,当我们不断提高频率f后,过了某个节点,太快的翻转会造成门延迟跟不上,从而影响数字信号的完整性,从而造成错误。这也是为什么超频到某个阶段会不稳定,随机出错的原因。那么怎么办呢?聪明的你也许想到了超频中常用的办法:加压。对了,可以通过提高电压来减小门延迟,让系统重新稳定下来。 也就是说,为了省电,要降低V,但为了达到数G的主频,而不得不提高电压V到一个可以接受的最小值,达到一个平衡。Vcore现在约1V。
|





。

